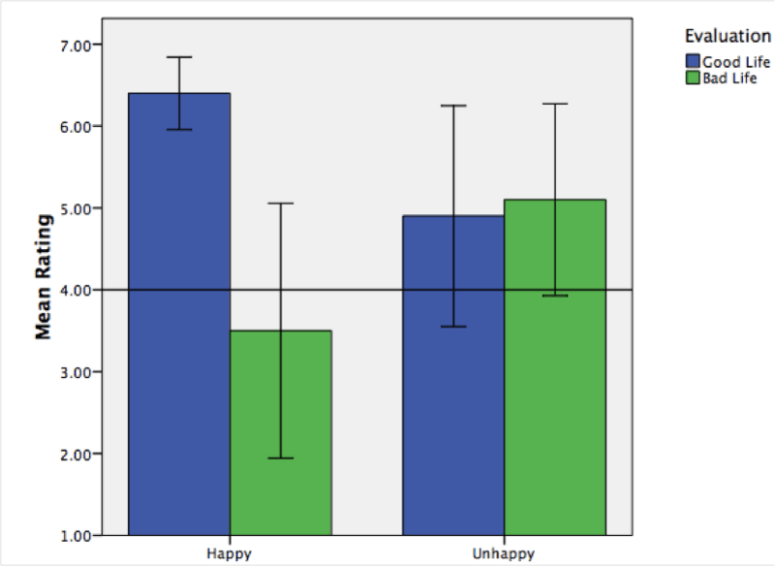
Jag tycker mig ha observerat att människor bedömer andras lycka utifrån sin egen bild av hur ett gott liv uppnås. Jag får visst stöd i den nya studien ”Love and Happiness” av Jonathan Phillips, Luke Misenheimer och Joshua Knobe. De beskrev en kvinna i fyra olika situationer och bad sedan deltagarna ange om de ansåg henne lycklig:
- Maria är omtänksam och har ett gott familjeliv samt många meningsfulla vänskaper och intressen. Hon känner sig trots detta nedstämd hela tiden och ser sitt liv som ett totalt misslyckande.
- Maria är omtänksam och har ett gott familjeliv samt många meningsfulla vänskaper och intressen. Hon känner sig mycket nöjd med tillvaron och ser sitt liv som det bästa möjliga.
- Maria är ytlig, utan vänskaper och utan mål i livet förutom att festa och erhålla högre social status. Hon känner sig nedstämd hela tiden och ser sitt liv som ett totalt misslyckande.
- Maria är ytlig, utan vänskaper och utan mål i livet förutom att festa och erhålla högre social status. Trots det känner hon sig mycket nöjd med tillvaron och ser sitt liv som det bästa möjliga.
Sedan ombads deltagarna att för varje situation ange, på en skala på 1 till 7, i vilken de mån de ansåg Maria lycklig. Resultaten visas i denna figur:
Resultaten tyder på att människor anser att man kan vara olycklig även om livet, ”objektivt” sett, är gott – och att olycka inte beror på om livet, ”objektivt” sett, är gott.
Jag kommer att tänka på John Stuart Mill när han skriver:
It is better to be a human being dissatisfied than a pig satisfied; better to be Socrates dissatisfied than a fool satisfied.
En central fråga här torde vara hur man definierar ett gott liv. Det förutsätts här att man gör det oberoende av lycka, men då blir frågan vari ett gott liv består. Jag lutar, contra Mill, åt att Maria 2 och Maria 4 lever lika goda liv (eftersom de är lika lyckliga) och att Maria 1 och Maria 3 lever lika dåliga liv (eftersom de är lika olyckliga). Håller ni med?

Du måste vara inloggad för att kunna skicka en kommentar.